OZEMPIC Solution for injection Ref.[8688] Active ingredients: Semaglutide

Source: European Medicines Agency (EU)  Revision Year: 2026  Publisher: Novo Nordisk A/S, Novo Allé, DK-2880 Bagsværd, Denmark

Pharmacodynamic properties

Pharmacotherapeutic group: Drugs used in diabetes, Glucagon-like peptide-1 (GLP-1) analogues
ATC code: A10BJ06

Mechanism of action

Semaglutide is a GLP-1 analogue with 94% sequence homology to human GLP-1. Semaglutide acts as a GLP-1 receptor agonist that selectively binds to and activates the GLP-1 receptor, the target for native GLP-1.

GLP-1 is a physiological hormone that has multiple actions in glucose and appetite regulation, in the cardiovascular system and in the kidneys. The glucose and appetite effects are specifically mediated via GLP-1 receptors in the pancreas and the brain.

Semaglutide reduces blood glucose in a glucose dependent manner by stimulating insulin secretion and lowering glucagon secretion when blood glucose is high. The mechanism of blood glucose lowering also involves a minor delay in gastric emptying in the early postprandial phase. During hypoglycaemia, semaglutide diminishes insulin secretion and does not impair glucagon secretion.

Semaglutide reduces body weight and body fat mass through lowered energy intake, involving an overall reduced appetite. In addition, semaglutide reduces the preference for high fat foods.

GLP-1 receptors are also expressed in the heart, vasculature, immune system and kidneys. The mechanism of action of semaglutide is likely multifactorial. Indirect effects are indicated by the beneficial effect of semaglutide on plasma lipids, lowered systolic blood pressure and reduced inflammation in clinical studies but direct effects are likely also involved. In animal studies, semaglutide attenuates the development of atherosclerosis by preventing aortic plaque progression and reducing inflammation in the plaque.

Clinical data showed that semaglutide lowered albuminuria in patients with kidney disease.

Pharmacodynamic effects

All pharmacodynamic evaluations were performed after 12 weeks of treatment (including dose escalation) at steady state with semaglutide 1 mg once weekly.

Fasting and postprandial glucose

Semaglutide reduces fasting and postprandial glucose concentrations. In patients with type 2 diabetes, treatment with semaglutide 1 mg resulted in reductions in glucose in terms of absolute change from baseline (mmol/L) and relative reduction compared to placebo (%) for fasting glucose (1.6 mmol/L; 22% reduction), 2 hour postprandial glucose (4.1 mmol/L; 37% reduction), mean 24 hour glucose concentration (1.7 mmol/L; 22% reduction) and postprandial glucose excursions over 3 meals (0.6-1.1 mmol/L) compared with placebo. Semaglutide lowered fasting glucose after the first dose.

Beta-cell function and insulin secretion

Semaglutide improves beta-cell function. Compared to placebo, semaglutide improved first- and second-phase insulin response with a 3– and 2–fold increase, respectively, and increased maximal beta-cell secretory capacity in patients with type 2 diabetes. In addition, semaglutide treatment increased fasting insulin concentrations compared to placebo.

Glucagon secretion

Semaglutide lowers the fasting and postprandial glucagon concentrations. In patients with type 2 diabetes, semaglutide resulted in the following relative reductions in glucagon compared to placebo: fasting glucagon (8–21%), postprandial glucagon response (14–15%) and mean 24 hour glucagon concentration (12%).

Glucose dependent insulin and glucagon secretion

Semaglutide lowered high blood glucose concentrations by stimulating insulin secretion and lowering glucagon secretion in a glucose dependent manner. With semaglutide, the insulin secretion rate in patients with type 2 diabetes was comparable to that of healthy subjects.

During induced hypoglycaemia, semaglutide compared to placebo did not alter the counter regulatory responses of increased glucagon and did not impair the decrease of C-peptide in patients with type 2-diabetes.

Gastric emptying

Semaglutide caused a minor delay of early postprandial gastric emptying, thereby reducing the rate at which glucose appears in the circulation postprandially.

Appetite, energy intake and food choice

Semaglutide compared to placebo lowered the energy intake of 3 consecutive ad libitum meals by 18-35%. This was supported by a semaglutide-induced suppression of appetite in the fasting state as well as postprandially, improved control of eating, less food cravings and a relative lower preference for high fat food.

Fasting and postprandial lipids

Semaglutide compared to placebo lowered fasting triglyceride and very low density lipoproteins (VLDL) cholesterol concentrations by 12% and 21%, respectively. The postprandial triglyceride and VLDL cholesterol response to a high fat meal was reduced by >40%.

Cardiac electrophysiology (QTc)

The effect of semaglutide on cardiac repolarization was tested in a thorough QTc trial. Semaglutide did not prolong QTc intervals at dose levels up to 1.5 mg at steady state.

Clinical efficacy and safety

Improvement of glycaemic control, reduction of cardiovascular morbidity and mortality, weight loss and risk reduction of chronic kidney disease progression are integral parts of the treatment of type 2 diabetes.

The efficacy and safety of semaglutide 0.5 mg and 1 mg once weekly were evaluated in six randomised controlled phase 3a trials that included 7 215 patients with type 2 diabetes mellitus (4 107 treated with semaglutide). Five trials (SUSTAIN 1–5) had the glycaemic efficacy assessment as the primary objective, while one trial (SUSTAIN 6) had cardiovascular outcome as the primary objective.

The efficacy and safety of semaglutide 2 mg once weekly was evaluated in a phase 3b trial (SUSTAIN FORTE) including 961 patients.

In addition, a phase 3b trial (SUSTAIN 7) including 1 201 patients was conducted to compare the efficacy and safety of semaglutide 0.5 mg and 1 mg once weekly to dulaglutide 0.75 mg and 1.5 mg once weekly, respectively. A phase 3b trial (SUSTAIN 9), was conducted to investigate the efficacy and safety of semaglutide as add-on to SGLT2 inhibitor treatment.

Treatment with semaglutide demonstrated sustained, statistically superior and clinically meaningful reductions in HbA1c and body weight for up to 2 years compared to placebo and active control treatment (sitagliptin, insulin glargine, exenatide ER and dulaglutide).

The efficacy of semaglutide was not impacted by age, gender, race, ethnicity, BMI at baseline, body weight (kg) at baseline, diabetes duration and level of renal function impairment.

Results target the on-treatment period in all randomised subjects (analyses based on mixed models for repeated measurements or multiple imputation).

In addition, a phase 3b trial (SUSTAIN 11), was conducted to investigate the effect of semaglutide versus insulin aspart, both as add-on to metformin and optimised insulin glargine (U100).

A phase 3b kidney outcomes trials (FLOW) including 3 533 patients was conducted to investigate the effects of semaglutide 1 mg once weekly versus placebo on the progression of kidney impairment in patients with type 2 diabetes and chronic kidney disease.

A phase 3b functional capacity trial (STRIDE), including 792 patients, was conducted to investigate the effects of semaglutide 1 mg once weekly vs placebo in patients with type 2 diabetes and peripheral arterial disease.

Detailed information is provided below.

SUSTAIN 1 – Monotherapy

In a 30-week double-blind placebo-controlled trial, 388 patients inadequately controlled with diet and exercise, were randomised to semaglutide 0.5 mg or semaglutide 1 mg once weekly or placebo.

Table 2. SUSTAIN 1: Results at week 30:

 Semaglutide
0.5 mg
Semaglutide
1 mg
Placebo
Intent-to-Treat (ITT) Population (N)128130129
HbA1c (%)    
Baseline (mean)8.18.18.0
Change from baseline at week 30-1.5-1.60
Difference from placebo [95% CI]-1.4 [-1.7, -1.1]a-1.5 [-1.8, -1.2]a-
Patients (%) achieving HbA1c <7%747225
FPG (mmol/L)    
Baseline (mean)9.79.99.7
Change from baseline at week 30-2.5-2.3-0.6
Body weight (kg)    
Baseline (mean)89.896.989.1
Change from baseline at week 30-3.7-4.5-1.0
Difference from placebo [95% CI]-2.7 [-3.9, -1.6]a-3.6 [-4.7, -2.4]a-

a p<0.0001 (2-sided) for superiority

SUSTAIN 2 – Semaglutide vs. sitagliptin both in combination with 1–2 oral antidiabetic medicinal products (metformin and/or thiazolidinediones)

In a 56-week active-controlled double-blind trial, 1 231 patients were randomised to semaglutide 0.5 mg once weekly, semaglutide 1 mg once weekly or sitagliptin 100 mg once daily, all in combination with metformin (94%) and/or thiazolidinediones (6%).

Table 3. SUSTAIN 2: Results at week 56:

 Semaglutide
0.5 mg
Semaglutide
1 mg
Sitagliptin
100 mg
Intent-to-Treat (ITT) Population (N)409409407
HbA1c (%)    
Baseline (mean)8.08.08.2
Change from baseline at week 56-1.3-1.6-0.5
Difference from sitagliptin [95% CI]-0.8 [-0.9, -0.6]a-1.1 [-1.2, -0.9]a-
Patients (%) achieving HbA1c <7%697836
FPG (mmol/L)    
Baseline (mean)9.39.39.6
Change from baseline at week 56-2.1-2.6-1.1
Body weight (kg)    
Baseline (mean)89.989.289.3
Change from baseline at week 56-4.3-6.1-1.9
Difference from sitagliptin [95% CI]-2.3 [-3.1, -1.6]a-4.2 [-4.9, -3.5]a-

a p<0.0001 (2-sided) for superiority

Figure 1. Mean change in HbA1c (%) and body weight (kg) from baseline to week 56:

SUSTAIN 7 – Semaglutide vs. dulaglutide both in combination with metformin

In a 40-week, open-label trial, 1 201 patients on metformin were randomised 1:1:1:1 to once weekly semaglutide 0.5 mg, dulaglutide 0.75 mg, semaglutide 1 mg or dulaglutide 1.5 mg, respectively. The trial compared 0.5 mg of semaglutide to 0.75 mg of dulaglutide and 1 mg of semaglutide to 1.5 mg of dulaglutide.

Gastrointestinal disorders were the most frequent adverse events, and occurred in similar proportion of patients receiving semaglutide 0.5 mg (129 patients [43%]), semaglutide 1 mg (133 [44%]), and dulaglutide 1.5 mg (143 [48%]); fewer patients had gastrointestinal disorders with dulaglutide 0.75 mg (100 [33%]).

At week 40, the increase in pulse rate for semaglutide (0.5 mg and 1 mg) and dulaglutide (0.75 mg and 1.5 mg) was 2.4, 4.0, and 1.6, 2.1, beats/min, respectively.

Table 4. SUSTAIN 7: Results at week 40:

 Semaglutide
0.5 mg
Semaglutide
1 mg
Dulaglutide
0.75 mg
Dulaglutide
1.5 mg
Intent-to-Treat (ITT) Population (N)301300299299
HbA1c (%)    
Baseline (mean)8.38.28.28.2
Change from baseline at week 40-1.5-1.8-1.1-1.4
Difference from dulaglutide
[95% CI]
-0.4b
[-0.6, -0.2]a
-0.4c
[-0.6, -0.3]a
--
Patients (%) achieving HbA1c <7%68795267
FPG (mmol/L)    
Baseline (mean)9.89.89.79.6
Change from baseline at week 40-2.2-2.8-1.9-2.2
Body weight (kg)    
Baseline (mean)96.495.595.693.4
Change from baseline at week 40-4.6-6.5-2.3-3.0
Difference from dulaglutide
[95% CI]
-2.3b
[-3.0, -1.5]a
-3.6c
[-4.3, -2.8]a
--

a p<0.0001 (2-sided) for superiority
b Ozempic 0.5 mg vs dulaglutide 0.75 mg
c Ozempic 1 mg vs dulaglutide 1.5 mg

Figure 2. Mean change in HbA1c (%) and body weight (kg) from baseline to week 40:

SUSTAIN 3 – Semaglutide vs. exenatide ER both in combination with metformin or metformin with sulfonylurea

In a 56-week open-label trial, 813 patients on metformin alone (49%), metformin with sulfonylurea (45%) or other (6%) were randomised to semaglutide 1 mg or exenatide ER 2 mg once weekly.

Table 5. SUSTAIN 3: Results at week 56:

 Semaglutide
1 mg
Exenatide ER
2 mg
Intent-to-Treat (ITT) Population (N)404405
HbA1c (%)  
Baseline (mean)8.48.3
Change from baseline at week 56-1.5-0.9
Difference from exenatide [95% CI]-0.6 [-0.8, -0.4]a-
Patients (%) achieving HbA1c <7%6740
FPG (mmol/L)  
Baseline (mean)10.610.4
Change from baseline at week 56-2.8-2.0
Body weight (kg)  
Baseline (mean)96.295.4
Change from baseline at week 56-5.6-1.9
Difference from exenatide [95% CI]-3.8 [-4.6, -3.0]a-

a p<0.0001 (2-sided) for superiority

SUSTAIN 4 – Semaglutide vs. insulin glargine both in combination with 1–2 oral antidiabetic medicinal products (metformin or metformin and sulfonylurea)

In a 30-week open-label comparator trial 1 089 patients were randomised to semaglutide 0.5 mg once weekly, semaglutide 1 mg once weekly, or insulin glargine once-daily on a background of metformin (48%) or metformin and sulfonylurea (51%).

Table 6. SUSTAIN 4: Results at week 30:

 Semaglutide
0.5 mg
Semaglutide
1 mg
Insulin
Glargine
Intent-to-Treat (ITT) Population (N)362360360
HbA1c (%)   
Baseline (mean)8.18.28.1
Change from baseline at week 30-1.2-1.6-0.8
Difference from insulin glargine [95% CI]-0.4 [-0.5, -0.2]a-0.8 [-1.0, -0.7]a-
Patients (%) achieving HbA1c <7%577338
FPG (mmol/L)   
Baseline (mean)9.69.99.7
Change from baseline at week 30-2.0-2.7-2.1
Body weight (kg)   
Baseline (mean)93.794.092.6
Change from baseline at week 30-3.5-5.2+1.2
Difference from insulin glargine [95% CI]-4.6 [-5.3, -4.0]a-6.34 [-7.0, -5.7]a-

a p<0.0001 (2-sided) for superiority

SUSTAIN 5 – Semaglutide vs. placebo both in combination with basal insulin

In a 30-week double-blind placebo-controlled trial, 397 patients inadequately controlled with basal insulin with or without metformin were randomised to semaglutide 0.5 mg once weekly, semaglutide 1 mg once weekly or placebo.

Table 7. SUSTAIN 5: Results at week 30:

 Semaglutide
0.5 mg
Semaglutide
1 mg
Placebo
Intent-to-Treat (ITT) Population (N)132131133
HbA1c (%)   
Baseline (mean)8.48.38.4
Change from baseline at week 30-1.4-1.8-0.1
Difference from placebo [95% CI]-1.4 [-1.6, -1.1]a-1.8 [-2.0, -1.5]a-
Patients (%) achieving HbA1c <7%617911
FPG (mmol/L)   
Baseline (mean)8.98.58.6
Change from baseline at week 30-1.6-2.4-0.5
Body weight (kg)   
Baseline (mean)92.792.589.9
Change from baseline at week 30-3.7-6.4-1.4
Difference from placebo [95% CI]-2.3 [-3.3, -1.3]a-5.1 [-6.1, -4.0]a-

a p<0.0001 (2-sided) for superiority

SUSTAIN FORTE – Semaglutide 2 mg vs. semaglutide 1 mg

In a 40-week double-blind trial, 961 patients inadequately controlled with metformin with or without sulfonylurea were randomised to semaglutide 2 mg once weekly or semaglutide 1 mg once weekly.

Treatment with semaglutide 2 mg resulted in a statistically superior reduction in HbA1c after 40 weeks of treatment compared to semaglutide 1 mg.

Table 8. SUSTAIN FORTE: Results at week 40:

 Semaglutide
1 mg
Semaglutide
2 mg
Intent-to-Treat (ITT) Population (N)481480
HbA1c (%)  
Baseline (mean)8.88.9
Change from baseline at week 40-1.9-2.2
Difference from semaglutide 1 mg
[95% CI]
--0.2 [-0.4, -0.1]a
Patients (%) achieving HbA1c <7%5868
FPG (mmol/L)  
Baseline (mean)10.910.7
Change from baseline at week 40-3.1-3.4
Body weight (kg)  
Baseline (mean)98.6100.1
Change from baseline at week 40-6.0-6.9
Difference from semaglutide 1 mg
[95% CI]
 -0.9 [-1.7, -0.2]b

a p<0.001 (2-sided) for superiority
b p<0.05 (2-sided) for superiority

SUSTAIN 9 – Semaglutide vs. placebo as add-on to SGLT2 inhibitor ± metformin or sulfonylurea

In a 30-week double-blind placebo-controlled trial, 302 patients inadequately controlled with SGLT2 inhibitor with or without metformin or sulfonylurea were randomised to semaglutide 1 mg once weekly or placebo.

 Semaglutide
1 mg
Placebo
Intent-to-Treat (ITT) Population (N)151151
HbA1c (%)  
Baseline (mean)8.08.1
Change from baseline at week 30-1.5-0.1
Difference from placebo [95% CI]-1.4 [-1.6, -1.2]a-
Patients (%) achieving HbA1c <7%78.718.7
FPG (mmol/L)  
Baseline (mean)9.18.9
Change from baseline at week 30-2.20.0
Body weight (kg)  
Baseline (mean)89.693.8
Change from baseline at week 30-4.7-0.9
Difference from placebo [95% CI]-3.8 [-4.7, -2.9]a-

a p<0.0001 (2-sided) for superiority, adjusted regarding multiplicity based on hierarchical testing of the HbA1c value and body weight

SUSTAIN 11 - Semaglutide vs. insulin aspart as add-on to insulin glargine + metformin

In a 52-week open-label trial, 1748 subjects with inadequately controlled T2D after a 12-week run-in period on insulin glargine and metformin were randomised to 1:1 to receive either semaglutide once-weekly (0.5 mg or 1.0 mg) or insulin aspart three times daily. The included population had a mean diabetes duration of 13.4 years and a mean HbA1c of 8.6%, with a target HbA1c of 6.5-7.5%.

Treatment with semaglutide resulted in reduction in HbA1c at week 52 (-1.5% for semaglutide vs. -1.2% for insulin aspart).

The number of severe hypoglycaemic episodes in both treatment arms was low (4 episodes with semaglutide vs. 7 episodes with insulin aspart).

Mean baseline body weight decreased with semaglutide (-4.1 kg) and increased with insulin aspart (+2.8 kg) and the estimated treatment difference was -6.99 kg (95%CI -7.41 to -6.57) at week 52.

Combination with sulfonylurea monotherapy

In SUSTAIN 6 (see subsection "Cardiovascular disease") 123 patients were on sulfonylurea monotherapy at baseline. HbA1c at baseline was 8.2%, 8.4% and 8.4% for semaglutide 0.5 mg, semaglutide 1 mg, and placebo, respectively. At week 30, the change in HbA1c was -1.6%, -1.5% and 0.1% for semaglutide 0.5 mg, semaglutide 1 mg, and placebo, respectively.

Combination with premix insulin ± 1–2 OADs

In SUSTAIN 6 (see subsection "Cardiovascular disease") 867 patients were on premix insulin (with or without OAD(s)) at baseline. HbA1c at baseline was 8.8%, 8.9% and 8.9% for semaglutide 0.5 mg, semaglutide 1 mg, and placebo, respectively. At week 30, the change in HbA1c was -1.3%, -1.8% and -0.4% for semaglutide 0.5 mg, semaglutide 1 mg, and placebo, respectively.

Cardiovascular disease

In a 104-week double-blind trial (SUSTAIN 6), 3 297 patients with type 2 diabetes mellitus at high cardiovascular risk were randomised to either semaglutide 0.5 mg once weekly, semaglutide 1 mg once weekly or corresponding placebo in addition to standard-of-care hereafter followed for 2 years. In total 98% of the patients completed the trial and the vital status was known at the end of the trial for 99.6% of the patients.

The trial population was distributed by age as: 1 598 patients (48.5%) ≥65 years, 321 (9.7%) ≥75 years, and 20 (0.6%) ≥85 years. There were 2 358 patients with normal or mild renal impairment, 832 with moderate and 107 with severe or end stage renal impairment. There were 61% males, the mean age was 65 years and mean BMI was 33 kg/m². The mean duration of diabetes was 13.9 years.

The primary endpoint was time from randomisation to first occurrence of a major adverse cardiovascular event (MACE): cardiovascular death, non-fatal myocardial infarction or non-fatal stroke. The total number of primary component MACE endpoints was 254, including 108 (6.6%) with semaglutide and 146 (8.9%) with placebo. See figure 4 for results on primary and secondary cardiovascular endpoints. Treatment with semaglutide resulted in a 26% risk reduction in the primary composite outcome of death from cardiovascular causes, non-fatal myocardial infarction or non-fatal stroke. The total numbers of cardiovascular deaths, non-fatal myocardial infarctions and non-fatal strokes were 90, 111, and 71, respectively, including 44 (2.7%), 47 (2.9%), and 27 (1.6%), respectively, with semaglutide (figure 4). The risk reduction in the primary composite outcome was mainly driven by decreases in the rate of non-fatal stroke (39%) and non-fatal myocardial infarction (26%) (figure 3).

Figure 3. Kaplan-Meier plot of time to first occurrence of the composite outcome: cardiovascular death, non-fatal myocardial infarction or non-fatal stroke (SUSTAIN 6):

Figure 4. Forest plot: analyses of time to first occurrence of the composite outcome, its components and all cause death (SUSTAIN 6):

There were 158 events of new or worsening nephropathy. The hazard ratio [95% CI] for time to nephropathy (new onset of persistent macroalbuminuria, persistent doubling of serum creatinine, need for continuous renal replacement therapy and death due to renal disease) was 0.64 [0.46; 0.88] driven by new onset of persistent macroalbuminuria.

In a 52-week double blind trial (STRIDE, NCT04560998), 792 patients with T2D and PAD with intermittent claudication Fontaine stage IIa were randomised to either semaglutide 1 mg once weekly or placebo on top of standard of care. The primary endpoint was change in maximum walking distance on a constant load treadmill test from baseline to week 52. The confirmatory secondary endpoints were change in Vascular Quality of Life Questionnaire-6 (VascuQoL-6) score from baseline to week 52 and change in pain-free walking distance from baseline to week 52. VascuQoL-6 is a questionnaire which includes the domains pain, social and emotional impact, and activity limitations. The score ranges from 6 to 24, with higher scores indicating better health status. The mean age of the study population was 67 years, and 75.4% of patients were male. Mean BMI was 29.6 kg/m² and mean diabetes duration was 13.3 years.

In STRIDE, treatment with semaglutide 1 mg once-weekly resulted in a statistically significant improvement in the functional capacity outcomes (maximum walking distance, pain-free walking distance) and patient reported symptoms and impacts of intermittent claudication (VascuQoL-6 total score) at week 52 compared to placebo. The 13% relative improvement represents a median change in maximum walking distance of 26 meters on constant load treadmill [12 – 41] 95% CI (Table 10).

Table 10. Functional capacity outcomes and VascuQoL-6 total score from STRIDE:

Intention-to-treataOzempic
N=396
Placebo
N=396
Maximum walking distance (meters) 
Week 52 
Baselineb median184.50185.75
Ratio to baseline median1.211.08
Treatment ratio (HL Estimate) [95% CI]c1.13 [1.056, 1.211]*
Patients (%) experiencing meaningful within-patient changed49.135.1
Pain-free walking distance (meters), week 52 
Baselineb median119.00109.00
Ratio to baseline median1.211.10
Treatment ratio (HL Estimate) [95% CI]c1.11 [1.033, 1.197]*
VascuQoL-6 total score, week 52 
Baseline median15.015.0
Change from baseline median2.01.0
Treatment difference (HL Estimate) [95% CI]c1.00 [0.478, 1.518]*

HL = Hodges-Lehmann estimate of location shift (median of all paired differences between semaglutide and placebo); CI = confidence interval; PAD = Peripheral arterial disease.
a The intention-to-treat population includes all randomized patients. Missing data at week 52 due to death or physical inability to perform treadmill assessments were handled using composite strategy. Missing data at post-baseline visits for other reasons were imputed using multiple imputation within groups defined by randomised treatment and completion status at week 52.
b Baseline was defined as the average of the walking distance measurements taken at baseline visit (week 0).
c 95% CIs were estimated with the Hodges-Lehmann method.
* p<0.05 (two-sided) for superiority of semaglutide vs. placebo obtained from Wilcoxon-rank sum test, adjusted for multiplicity.
d The meaningful within-patient change for maximum walking distance at week 52 is defined as an improvement of at least 1.2 (20%) relative to baseline walking distance. These estimates were obtained from the anchor-based analysis based on 1-category improvement in the PGI-S (Patient Global Impression of Severity) scale. The binary endpoint was analysed using a logistic regression model with randomised treatment as a fixed factor.

Kidney outcomes

In a double-blind kidney outcomes trial (FLOW), 3 533 patients with type 2 diabetes mellitus and chronic kidney disease with eGFR of 50-75 ml/min/1.73 m² and UACR >300 and <5000 mg/g, or eGFR 25-<50 ml/min/1.73 m² and UACR of >100 and <5000 mg/g were randomised to either semaglutide 1 mg once weekly or corresponding placebo in addition to standard-of-care.

The study was stopped early for efficacy following the planned interim analysis based on a recommendation by the independent Data Monitoring Committee. The median follow-up time was 40.9 months.

The mean age of the population was 66.6 years and 69.7% were male. The mean baseline BMI was 32.0 kg/m². The mean duration of diabetes at baseline was 17.4 years and mean baseline HbA1c was 7.8% (61.5 mmol/mol). The mean baseline eGFR was 47 ml/min/1.73 m² and the median UACR was 568 mg/g. At baseline, about 95% of the patients were treated with renin-angiotensin-aldosterone system inhibitors and 16% with SGLT2 inhibitors.

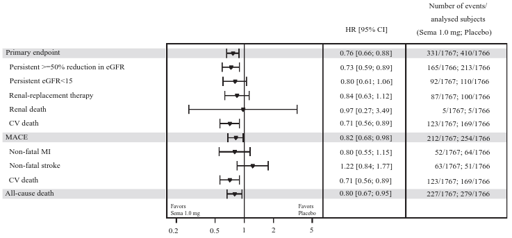
Semaglutide was superior to placebo, in addition to standard-of-care, in preventing the primary composite outcome of persistent ≥50% reduction in eGFR, onset of persistent eGFR <15 ml/min/1.73 m², initiation of chronic kidney replacement therapy, kidney death or cardiovascular death with a hazard ratio of 0.76 [0.66; 0.88] 95% CI, corresponding to a relative risk reduction in kidney disease progression of 24% (see Figure 5). The individual components of the primary composite contributed to the treatment effect but there were few kidney deaths (see Figure 6).

Semaglutide showed superiority over placebo, in addition to standard-of-care, in reducing the yearly rate of change in eGFR with an estimated treatment difference of 1.16 (ml/min/1.73m²/year) [0.86; 1.47] 95% CI. Treatment with semaglutide improved overall survival with a significant reduction in all-cause mortality (see Figure 6).

Figure 5. Cumulative incidence function of time to first occurrence of the primary composite outcome: onset of persistent ≥50% reduction in eGFR, onset of persistent eGFR <15 ml/min/1.73 m², initiation of chronic kidney replacement therapy, kidney death or cardiovascular death (FLOW):

Figure 6. Forest plot: analyses of time to first occurrence of the primary composite outcome and its components, first occurrence of MACE and its components and all cause death (FLOW):

Body weight

After one year of treatment, a weight loss of ≥5% and ≥10% was achieved for more subjects with semaglutide 0.5 mg (46% and 13%) and 1 mg (52 – 62% and 21 – 24%) compared with the active comparators sitagliptin (18% and 3%) and exenatide ER (17% and 4%).

In the 40-week trial versus dulaglutide a weight loss of ≥5% and ≥10% was achieved for more subjects with semaglutide 0.5 mg (44% and 14%) compared with dulaglutide 0.75 mg (23% and 3%) and semaglutide 1 mg (up to 63% and 27%) compared with dulaglutide 1.5 mg (30% and 8%).

A significant and sustained reduction in body weight from baseline to week 104 was observed with semaglutide 0.5 mg and 1 mg vs placebo 0.5 mg and 1 mg, in addition to standard-of-care (-3.6 kg and -4.9 kg vs -0.7 kg and -0.5 kg, respectively) in SUSTAIN 6.

In the kidney outcomes trial FLOW, treatment with semaglutide 1 mg resulted in a sustained reduction in body weight at week 104 vs placebo, in addition to standard-of-care (-5.6 kg for semaglutide and -1.4 kg for placebo).

Blood pressure

Significant reductions in mean systolic blood pressure were observed when semaglutide 0.5 mg (3.5 – 5.1 mmHg) and 1 mg (5.4 – 7.3 mmHg) were used in combination with oral antidiabetic medicinal products or basal insulin. For diastolic blood pressure, there were no significant differences between semaglutide and comparators. The observed reductions in systolic blood pressure for semaglutide 2 mg and 1 mg at week 40 were 5.3 mmHg and 4.5 mmHg, respectively.

Paediatric population

The European Medicines Agency has deferred the obligation to submit the results of studies with Ozempic in one or more subsets of the paediatric population in type 2 diabetes (see section 4.2 for information on paediatric use).

Pharmacokinetic properties

Compared to native GLP-1, semaglutide has a prolonged half-life of around 1 week making it suitable for once weekly subcutaneous administration. The principal mechanism of protraction is albumin binding, which results in decreased renal clearance and protection from metabolic degradation. Furthermore, semaglutide is stabilised against degradation by the DPP-4 enzyme.

Absorption

Maximum concentration was reached 1 to 3 days post dose. Steady state exposure was achieved following 4–5 weeks of once weekly administration. In patients with type 2 diabetes, the mean steady state concentrations following subcutaneous administration of 0.5 mg and 1 mg semaglutide were approximately 16 nmol/L and 30 nmol/L, respectively. In the trial comparing semaglutide 1 mg and 2 mg, the mean steady state concentrations were 27 nmol/L and 54 nmol/L, respectively. Semaglutide exposure increased in a dose proportional manner for doses of 0.5 mg, 1 mg and 2 mg. Similar exposure was achieved with subcutaneous administration of semaglutide in the abdomen, thigh, or upper arm. Absolute bioavailability of subcutaneous semaglutide was 89%.

Distribution

The mean volume of distribution of semaglutide following subcutaneous administration in patients with type 2 diabetes was approximately 12.5 L. Semaglutide was extensively bound to plasma albumin (>99%).

Biotransformation

Prior to excretion, semaglutide is extensively metabolised through proteolytic cleavage of the peptide backbone and sequential beta-oxidation of the fatty acid sidechain. The enzyme neutral endopeptidase (NEP) is expected to be involved in the metabolism of semaglutide.

Elimination

In a trial with a single subcutaneous dose of radiolabelled semaglutide, it was found that the primary excretion routes of semaglutide-related material were via urine and faeces; approximately ⅔ of semaglutide-related material were excreted in urine and approximately ⅓ in faeces. Approximately 3% of the dose was excreted as intact semaglutide via urine. In patients with type 2 diabetes clearance of semaglutide was approximately 0.05 L/h. With an elimination half-life of approximately 1 week, semaglutide will be present in the circulation for about 5 weeks after the last dose.

Special population

Elderly

Age had no effect on the pharmacokinetics of semaglutide based on data from phase 3a studies including patients of 20–86 years of age.

Gender, race and ethnicity

Gender, race (White, Black or African-American, Asian) and ethnicity (Hispanic or Latino, non-Hispanic or -Latino) had no effect on the pharmacokinetics of semaglutide.

Body weight

Body weight has an effect on the exposure of semaglutide. Higher body weight results in lower exposure; a 20% difference in body weight between individuals will result in an approximate 16% difference in exposure. Semaglutide doses of 0.5 mg and 1 mg provide adequate systemic exposure over a body weight range of 40–198 kg.

Renal impairment

Renal impairment did not impact the pharmacokinetics of semaglutide in a clinically relevant manner. This was shown with a single dose of 0.5 mg semaglutide for patients with different degrees of renal impairment (mild, moderate, severe or patients in dialysis) compared with subjects with normal renal function. This was also shown for subjects with type 2 diabetes and with renal impairment based on data from phase 3a studies, although the experience in patients with end-stage renal disease was limited.

Hepatic impairment

Hepatic impairment did not have any impact on the exposure of semaglutide. The pharmacokinetics of semaglutide were evaluated in patients with different degrees of hepatic impairment (mild, moderate, severe) compared with subjects with normal hepatic function in a trial with a single-dose of 0.5 mg semaglutide.

Paediatric population

Semaglutide has not been studied in paediatric patients.

Immunogenicity

Development of anti-semaglutide antibodies when treated with semaglutide 1 mg and 2.4 mg occurred infrequently (see section 4.8) and the response did not appear to influence semaglutide pharmacokinetics.

Preclinical safety data

Preclinical data reveal no special hazards for humans based on conventional studies of safety pharmacology, repeat-dose toxicity or genotoxicity.

Non-lethal thyroid C-cell tumours observed in rodents are a class effect for GLP-1 receptor agonists. In 2-year carcinogenicity studies in rats and mice, semaglutide caused thyroid C-cell tumours at clinically relevant exposures. No other treatment-related tumours were observed. The rodent C-cell tumours are caused by a non-genotoxic, specific GLP-1 receptor mediated mechanism to which rodents are particularly sensitive. The relevance for humans is considered to be low, but cannot be completely excluded.

In fertility studies in rats, semaglutide did not affect mating performance or male fertility. In female rats, an increase in oestrous cycle length and a small reduction in corpora lutea (ovulations) were observed at doses associated with maternal body weight loss.

In embryo-foetal development studies in rats, semaglutide caused embryotoxicity below clinically relevant exposures. Semaglutide caused marked reductions in maternal body weight and reductions in embryonic survival and growth. In foetuses, major skeletal and visceral malformations were observed, including effects on long bones, ribs, vertebrae, tail, blood vessels and brain ventricles. Mechanistic evaluations indicated that the embryotoxicity involved a GLP-1 receptor mediated impairment of the nutrient supply to the embryo across the rat yolk sac. Due to species differences in yolk sac anatomy and function, and due to lack of GLP-1 receptor expression in the yolk sac of non-human primates, this mechanism is considered unlikely to be of relevance to humans. However, a direct effect of semaglutide on the foetus cannot be excluded.

In developmental toxicity studies in rabbits and cynomolgus monkeys, increased pregnancy loss and slightly increased incidence of foetal abnormalities were observed at clinically relevant exposures. The findings coincided with marked maternal body weight loss of up to 16%. Whether these effects are related to the decreased maternal food consumption as a direct GLP-1 effect is unknown.

Postnatal growth and development were evaluated in cynomolgus monkeys. Infants were slightly smaller at delivery, but recovered during the lactation period.

In juvenile rats, semaglutide caused delayed sexual maturation in both males and females. These delays had no impact upon fertility and reproductive capacity of either sex, or on the ability of the females to maintain pregnancy.

© All content on this website, including data entry, data processing, decision support tools, "RxReasoner" logo and graphics, is the intellectual property of RxReasoner and is protected by copyright laws. Unauthorized reproduction or distribution of any part of this content without explicit written permission from RxReasoner is strictly prohibited. Any third-party content used on this site is acknowledged and utilized under fair use principles.