ICOTYDE Film-coated tablet Ref.[116431] Active ingredients: Icotrokinra

Source: FDA, National Drug Code (US)  Revision Year: 2026 

Product description

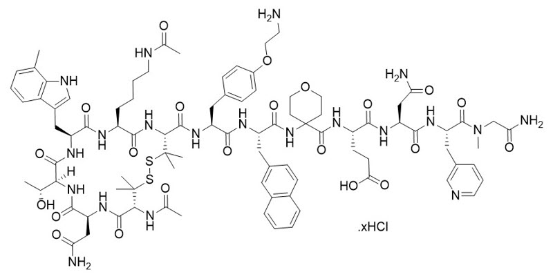
Icotrokinra is an IL-23 receptor antagonist, in the form of a hydrochloride salt. Icotrokinra is a 13-amino acid peptide. The molecular formula for icotrokinra is C90H120N20O22S2 and its molecular weight is 1898.17.

The chemical name for icotrokinra is (4S)-4-[([4-[(2S)-2-[(2S)-2-[([(4R,7S,10S,13S,16S,19R)-19-acetamido-7-(4-acetamidobutyl)-16-(2-amino-2-oxoethyl)-13-[(1R)-1-hydroxyethyl]-3,3,20,20-tetramethyl-10-[(7-methyl-1H-indol-3-yl)methyl]6,9,12,15,18-pentaoxo-1,2-dithia-5,8,11,14,17-pentaazacycloicosan-4-yl]carbonyl)amino]-3-[4-(2-aminoethoxy)phenyl]propanamido]-3-(2-naphthyl)propanamido]tetrahydro-2H-pyran-4-yl]carbonyl)amino]-5-[[(2S)-4-amino-1-[[(2S)-1-[(2-amino-2-oxoethyl)(methyl)amino]-1-oxo-3-(pyridin-3-yl)propan-2-yl]amino]-1,4-dioxobutan-2-yl]amino]-5-oxopentanoic acid.

The structural formula for icotrokinra hydrochloride is:

Icotrokinra hydrochloride is a white to almost white powder. It is freely soluble below pH 2, very slightly soluble at pH 5, practically insoluble at pH 9, and freely soluble above pH 11. The isoelectric point (pI) of the compound is 7.15.

ICOTYDE (icotrokinra) tablets are supplied as 200 mg film-coated tablets for oral administration. Each tablet of ICOTYDE contains 200 mg icotrokinra (equivalent to 201.6–202.8 mg of icotrokinra hydrochloride) and the following inactive ingredients: colloidal silicon dioxide, crospovidone, magnesium stearate, and silicified microcrystalline cellulose. The film coating contains the following inactive ingredients: glyceryl monocaprylocaprate, iron oxide yellow, macrogol polyvinyl alcohol graft polymer, polyvinyl alcohol partially hydrolyzed, talc, and titanium dioxide.

Dosage Forms and Strengths

Tablets: 200 mg of icotrokinra, yellowish orange to yellowish brown, oval, film-coated tablets debossed with '200' on one side and 'JNJ' on the other side.

How Supplied

ICOTYDE (icotrokinra) tablets: 200 mg, yellowish orange to yellowish brown, oval, film-coated tablets debossed with '200' on one side and 'JNJ' on the other side.

ICOTYDE is supplied in bottles of 30 tablets (NDC Number: 57894-201-30), with a silica gel desiccant and a child-resistant closure.

Manufactured for: Janssen Biotech, Inc., Horsham, PA 19044, USA

Drugs

Drug Countries
ICOTYDE United States

© All content on this website, including data entry, data processing, decision support tools, "RxReasoner" logo and graphics, is the intellectual property of RxReasoner and is protected by copyright laws. Unauthorized reproduction or distribution of any part of this content without explicit written permission from RxReasoner is strictly prohibited. Any third-party content used on this site is acknowledged and utilized under fair use principles.