NATACYN Ophthalmic suspension, drops Ref.[10144] Active ingredients: Natamycin

Source: FDA, National Drug Code (US)  Revision Year: 2019 

Product description

NATACYN (natamycin ophthalmic suspension) 5% is a sterile, antifungal drug for topical ophthalmic administration.

Each mL of NATACYN (natamycin ophthalmic suspension) contains:

Active: natamycin 5% (50 mg).
Preservative: benzalkonium chloride 0.02%.
Inactive: sodium hydroxide and/or hydrochloric acid (neutralized to adjust the pH), purified water.

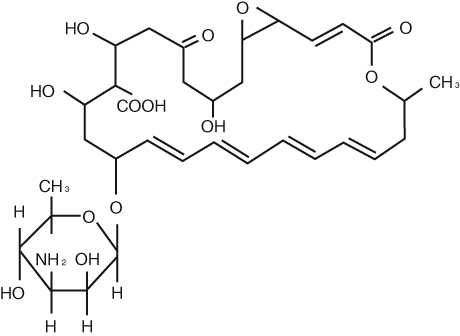
The active ingredient is represented by the chemical structure:

Established Name: Natamycin
Molecular Formula: C33H47NO13
Molecular Weight: 665.73 g/mol
Chemical Name: Stereoisomer of 22-[(3-amino-3,6-dideoxy-β-D-mannopyranosyl)oxy]-1,3,26-trihydroxy-12-methyl-10-oxo-6,11,28- trioxatricyclo[22.3.1.05,7] octacosa-8,14,16,18,20-pentaene-25-carboxylic acid.
Other: Pimaricin

The pH range is 5.0-7.5.

How Supplied

NATACYN (natamycin ophthalmic suspension) 5% is a 15 mL fill packaged in a 15 mL amber glass bottle with a black closure. A flint glass dropper with a red plastic closure and a black rubber bulb are packaged separately in a clear plastic blister with Tyvek backing.

15 mL NDC 0065-0645-15

Distributed by: ALCON LABORATORIES, INC., Fort Worth, Texas 76134

A Novartis company

Drugs

Drug Countries
NATACYN Hong Kong, Singapore, United States

© All content on this website, including data entry, data processing, decision support tools, "RxReasoner" logo and graphics, is the intellectual property of RxReasoner and is protected by copyright laws. Unauthorized reproduction or distribution of any part of this content without explicit written permission from RxReasoner is strictly prohibited. Any third-party content used on this site is acknowledged and utilized under fair use principles.